-
-
Notifications
You must be signed in to change notification settings - Fork 40
Open
Labels
Feature idea 🔥New feature or requestNew feature or requestHelp us 👀Help is needed to implement somethingHelp is needed to implement something
Description
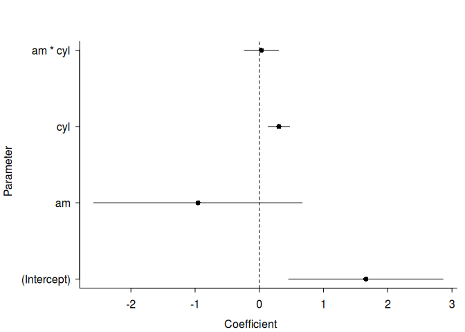
This might be encroaching on see's toes, but is there any possibility of supporting tinyplot methods for parameters? It would only require a lightweight Suggests addition and I think we could keep the implementation pretty simple. Something along the lines of:
tinyplot.parameters_model = function(
x,
flip = TRUE,
zero = TRUE,
...
) {
xlabs = attr(x, "pretty_labels")
x$Parameter = xlabs[x$Parameter]
tinyplot(
Coefficient ~ Parameter, ymin = CI_low, ymax = CI_high,
data = x,
type = "pointrange",
flip = flip,
...
)
if (zero) if (flip) abline(v = 0, lty = 2) else abline(h = 0, lty = 2)
}MWE:
library(tinyplot)
library(parameters)
res = parameters(lm(wt ~ am * cyl, data = mtcars))
plt(res)Slightly fancier version with a theme:
tinytheme("classic")
plt(res)Created on 2025-06-04 with reprex v2.1.1
Happy to iterate on a potential PR if there's interest on your side, but no offence if it's out of scope.
Metadata
Metadata
Assignees
Labels
Feature idea 🔥New feature or requestNew feature or requestHelp us 👀Help is needed to implement somethingHelp is needed to implement something

